Life + Chemistry

化学の講義録+大学を楽しく面白い学びの場に変える試みの記録 (北里大学・一般教育部・野島 高彦)

化学実験

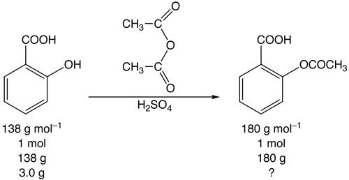
収率の計算はこういうふうにやるのです

化学実験の実験テーマ#3.2「アスピリンの合成」では,「収率の計算」をやるのですが,毎回毎回毎回コレが何だかわかってない人から質問されるので,ココで説明しておきます.

実験科目の「予習」って具体的に何をすればいいんでしょうか?

(1) 実習書を読んでどこがわかんないのかハッキリさせておく,(2) とるべきテータの一覧表をノートに書いておく,(3) 操作手順をノートに書いておく,(4) 自分で書いた操作手順を読みながら実験操作をイメージする,(5) よく寝ておく,(6) 実験前の説明を聞…

実験レポートで「方法」と「結果」をうまく分けて書けない場合にはこうすればOK

おことわり *1 この記事では実験実習科目を履修する大学1年生を読者として想定しています. 実験レポートでは「目的」,「方法」,「結果」,「考察」,「参考文献」を分けて書くのが「おやくそく」になっています.ここで,実験テーマによっては「方法」と…

有効数字と物理量の表しかたと端数の処理

有効数字の取り扱い方とか,物理量の表し方とか,四捨五入のやり方とかについて毎年毎年 何度も何度も何度も何度も何度も何度も同じことを繰り返し繰り返し質問されるので,ここにまとめておきます. 1 有効数字 掛け合わされる数値のうち,もっとも桁数の小…

2012年度化学実験第4期開始

実験科目攻略講座 本日から6週間にわたって木曜午後は医療工学科の化学実験です.すでに物理学実験や生物学実験を終わらせている学生が集まるので,実験科目というものには慣れているはずですが,初日の今日は実験時間が長くかかった班がめだちました. 実験…

化学実習室のセットアップ2012年度

入学式は明日ですが,今週の月曜日からすでにガイダンスが始まっており,来週の月曜日からは通常授業が始まります.毎週木曜日と金曜日にはイロイロな学科が入れ替わり立ち替わり化学実習室で化学実験を行います.本日はそのための準備日. 実験台やサイドテ…

獣医学部生物環境科学科+医療衛生学部臨床工学専攻(6/6)

第I期木曜日の化学実験実習は今回で終了です.「大学に入学して初めて体験する実験科目が化学実験だった」というグループも,この6回の実験を通して理系学科の実験科目というものがわかったことでしょう.次週からは生物学実験や物理学実験に移動です. 今回…

獣医学部生物環境科学科+医療衛生学部臨床工学専攻(2/6)

先週の続きです.獣医学部生物環境科学科の四十数名が,サリチル酸を原料にアセチルサリチル酸の合成を体験しました.薄層クロマトグラフィーで使うガラス毛細管は自分自身でガラス細工でつくる必要があります.全グループのガラス細工指導を私が担当しまし…

2010年度実験実習準備期間

一般教育部ではまだ新入生ガイダンスが続いていますが,2年生以上の学年では2010年度の講義や実習が始まっています.ばったり会った昨年度の化学講義履修生が,「2年生に進級しましたよー!」と嬉しそうに話しかけてきてくれました.進級の喜びは,学生時代の…

実験室整備

化学実験の準備が始まりました. 化学実験は全6テーマの実験実習から構成される科目です. 履修者が実験室に足を運ぶのは6回だけですが,化学実験担当教員一同は一年間にわたって毎週木曜日と金曜日の午後に48回+α(介護実習とか忌引きとかで実習を休んだ学生…

後期実験の準備

後期化学実験に備えて実習室をセットアップしました。化学単位に卒業研究で配属されている理学部化学科の4年生にも手伝ってもらって,実習室のそうじ,備品のチェック,そして試薬の補充. 後期前半は木曜日が獣医学部獣医学科(9月17日から),金曜日が獣医学…

実習室の夏休み

後期の化学実験開始は9月17日(木)からです.実習室の実験器具は夏休みに入りました.

海洋生命科学部DEFクラス(6/6)

前期化学実験最終回です.先週扱ったビュレットを使って強酸-強塩基,弱酸-強塩基の滴定カーブを描きます. 来週から前期試験期間が始まるので,試験期間中に実験レポート再提出があると困ったことになる可能性があります.今回の実験レポートに記載しなけれ…

海洋生命科学部DEFクラス(5/6)

実験台を移動して新しいテーマに取り組む残り2回の化学実験です. 先週に引き続きビュレットを使った実験の指導を担当しました.

実験リハーサル3日目

化学実験の準備3日目.リハーサル最終日です.本日は2名のティーチングアシスタントが参加.それぞれ担当する実験課題のリハーサルをやってもらいました. 私は「陽イオンの定性分析」をリハーサル.2日分のテーマ「陽イオンの各個反応」と「未知試料の系統…

実験リハーサル2日目

2009年度化学実験の準備2日目です.昨日は1名,本日は3名のティーチングアシスタントが実験リハーサル.私も「有機化学実験」をやってみました.2日間に分けて行う「有機化合物の定性分析(構成元素の検出)」と,「有機合成,アセチルサリチル酸(アスピリン)…

実験リハーサルを始めました

いよいよ来週木曜日からは1年生の化学実験が始まります.これに備え,ティーチングアシスタント(東京工業大学および首都大学東京の大学院生)が実験室で確認実験を始めました.試薬や器具の収納場所確認,カラになった試薬びんの中身補充など.最大で一度に16…

2009年度学生実験の準備

昨日(4月3日)は実験整備の日でした.4人の教員と,今年度卒業研究生として配属になった4人の学生(理学部化学科)とで,2部屋ある実験実習室を掃除し,器具を並べ,試薬を確認しました. 化学実験は化学単位に所属する専任教員の他に,非常勤講師と医学部教員…