*1
酵母を使ったアルコール飲料製造は,おそらく人類最初のバイオテクノロジー.
キーワード
アルコール,アルデヒド,1価アルコール,エーテル,エノール形,カルボニル化合物,カルボニル基,カルボン酸,共鳴,ケト-エノール互変異性,ケト形,ケトン,ザイツェフ則,3価アルコール,主生成物,第一級アルコール,第三級アルコール,第二級アルコール,2価アルコール,発酵,フェノール類,副生成物,分子内脱水,ヘミアセタール
講義内容要約
- 酸素を含む有機化合物の構造パターン6種類のうち5種類の紹介:アルコール,エーテル,アルデヒド,ケトン,カルボン酸
- アルコールの価数と級数
- フェノール類:アルコール類の中に含まれる別グループ
- アルコールの製造方法:メタノールはCOとH2から,酒用エタノールは発酵,工業用エタノールおよびその他のアルコールはアルケンに水付加
- アルコールの分子内脱水とザイツェフ則
- 主生成物と副生成物
- アルコールの酸化:第一級と第二級で異なる
- 共鳴の概念:カルボニル基の場合
- ケト-エノール互変異性:ビニルアルコールとアセトアルデヒドの場合
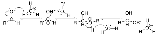
- ヘミアセタールの生成
酸素を含む有機化合物に関連したトピック
麻酔が無かった時代の外科手術:ジエチルエーテル
世界初の全身麻酔手術の成功例とされているのは,1804年10月13日に日本人外科医 華岡青洲(はなおか せいしゅう)によっておこなわれた乳がん切除手術です.この日を記念して,我が国では10月13日が麻酔の日となっています.このとき麻酔には秘伝の薬が使われました.そのレシピは不明です.
アメリカでは1842年にクロウフォード・ロング医師がジエチルエーテルを麻酔薬に用いて腫瘍除去手術に成功しています.また,1846年に歯科医師ウィリアム・モートンが外科医とともに公開外科手術をおこなっています.そのため,モートンは「麻酔の父」とよばれています.
世界史を変えた有機化合物:アセトン
第一次世界大戦中,アセトンは貴重な軍需物資でした.爆薬を製造するためにはアセトンが大量に必要だったからです.しかし,当時の技術ではアセトンを大量に製造することができませんでした.この要請に応えたのがイギリスのユダヤ人化学者ヴァイツマンでした.彼はバクテリアを用いる発酵技術によってアセトンを安価に大量生産可能としました.その見返りに彼が大英帝国から受け取った報酬は,母国建設のための土地でした.この土地が現在のイスラエルとなり,彼はその初代大統領を務めました.アセトンは世界史を変えた有機化合物の一つです.
確認問題+自宅学習資料
質問
事前配布物のp19の上から2つめの図がわかりません.
↓コレについての質問.次回 解説します.

コメント
- 麻酔がない時代の外科手術は想像しただけで恐ろしいです.
- 麻酔なしの手術想像しただけで怖い.麻酔できてほんとに良かったと思う.酸化・還元や名称,色々な反応があるから混ざらないように整理しようと思う.する.
- 華岡青洲は和歌山県出身です.私の出身地です.
- 化学と生物と色々つながってて面白かった
- アセトンが爆薬に使われていたとは知りませんでした.今では除光液に使われているのにと驚きました.
- アセトンについてよく分かった.
- 共鳴がよくわからなかった.
- ヴァイツマンの話 おもしろかった!
- イスラエル建国にも科学の話が関わっているとは知りませんでした.
- イスラエルは化学者がつくりあげたなんてびっくり!
- 何もないところから何かを生み出す人は本当にすごいと思った.
- だいたい知ってました!
- 有機の方が授業がたのしいです!!!♪
- 有機は得意ではないけど比較的好きな分野なのでがんばります.
- 苦手なところなので頑張ります.
- むずかしすぎた
- 分かりやすかったです.
- むずかしい.
- 楽しい!
- 覚えることが多いですね・・・.
- 有機ってパズルに似ている気がします
- 頭がこんがらがってきました.
- 有機は暗記が大変です(泣)
- 頑張って予習したのでアルコールの酸化まではよくわかったけれど その後が難しいです.むずかしい.
- ヤバイ予習復習ちゃんとやろう
- 苦手な分野なので予習復習しっかりする!!
- そろそろ復習はじめます.
- 後期の試験がこわい.
- 有機の知識が抜け始めていて思い出すのが大変
- 高校の記憶がない・・・.
- 高校の頃 思い出したけど その時より自信持って答えられない・・・.テストがんばる.
- アルデヒドとかなつかしくて かなり忘れてるなと思いました.
- 懐しい
- 最近食欲が止まりません.そろそろ冬眠ですかね.
- 久しぶりに朝ごはんを食べました.
- 先生髪切りましたね☆
- 先生髪切りましたね.
出席者数推移
(1)109→(2)106→(3)104→(4)107→(5)105→(6)105→(7)106→
(8)102→(9)105→(10)102→(11)101→(12)99→(13)99→(14)98→
(16)98→(17)100→(18)96→(19)88→(20)91→(21)78→(22)79.
【1ML】水曜2限出席者数:(1)109→(2)106→(3)104→(4)107→(5)105→(6)105→(7)106→(8)102→(9)105→(10)102→(11)101→(12)99→(13)99→(14)98→(16)98→(17)100→(18)96→(19)88→(20)91→(21)78→(22)79.履修登録106.
— 野島 高彦【化学】 (@TakahikoNojima) 2018年10月17日
次回予告
www.tnojima.net
「(23)酸素を含む有機化合物その2」を学びます.2回に分けて学ぶ2回目.高校化学で学ぶ範囲を超えた内容も扱います.配布物で予習してくること.
参考書籍

- 作者: 佐藤健太郎
- 出版社/メーカー: 新潮社
- 発売日: 2013/07/26
- メディア: 単行本
- この商品を含むブログ (16件) を見る

- 作者: 山崎幹夫
- 出版社/メーカー: 白日社
- 発売日: 2005/03/01
- メディア: 単行本
- クリック: 1回
- この商品を含むブログ (1件) を見る

- 作者: John McMurry,伊東〓,児玉三明,荻野敏夫,深澤義正,通元夫
- 出版社/メーカー: 東京化学同人
- 発売日: 2017/02/12
- メディア: 単行本
- この商品を含むブログを見る

- 作者: 井本稔
- 出版社/メーカー: 東京化学同人
- 発売日: 1990/10
- メディア: 単行本
- この商品を含むブログ (4件) を見る
リンク
このブログを書いている人
もう一つのブログ
【PR】このブログを書いてる人の著書
在学中 or 勤務先の図書館に蔵書購入リクエストしていただけると超うれしいです☆

誰も教えてくれなかった実験ノートの書き方 (研究を成功させるための秘訣)
- 作者: 野島高彦
- 出版社/メーカー: 化学同人
- 発売日: 2017/07/07
- メディア: 単行本(ソフトカバー)
- この商品を含むブログ (1件) を見る

- 作者: 野島高彦
- 出版社/メーカー: 化学同人
- 発売日: 2012/04/01
- メディア: 単行本
- この商品を含むブログ (4件) を見る